
ブランチとは
ブランチとは、Gitの機能のひとつで、複数の作業を並行して行う際などに作業履歴を分岐させることが出来る機能です。

一番最初のコミットの時点で、masterブランチというブランチが作成されます。すでに1度コミットを行っているので、masterブランチが作成されているはずです。ターミナルで以下のコマンドを実行して確認してみて下さい。現在自分がいるブランチには*(アスタリスク)が付きます。
$ git branch
* master
トピックブランチ
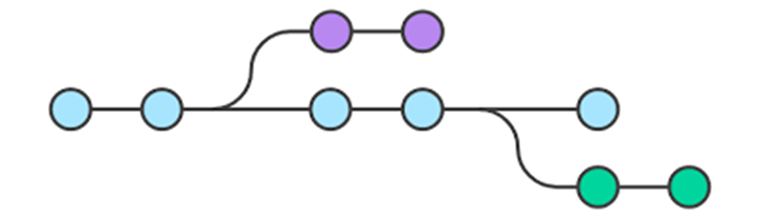
作業履歴を分岐させたい時には、トピックブランチと呼ばれるブランチを作成します。このブランチの概要や使い方を以下の図を例に説明します。

まず、最初のコミットで作成されるmasterブランチがあります。masterブランチは、ユーザーに公開するアプリのソースコードを管理するブランチとして使用されます。
トピックブランチは、新しい機能の追加やエラーの修正などの作業を行う為のブランチです。例えば、ブログ機能の追加はトピックブランチAで、トップページのエラー修正はトピックブランチBで行うというように、作業ごとにブランチを分けて開発を行います。
なぜ履歴を分岐させる必要があるのかというと、トピックブランチでの作業は他のブランチには影響しないという特徴がある為です。たとえば、トピックブランチで追加した機能にエラーが発生したとしても、トピックブランチをmasterブランチに反映させない限りエラーがユーザーに見えずに済むのです。
トピックブランチを作成する
では、実際にトピックブランチを作成しそのブランチで作業してみましょう。新たにtest-branchブランチを作成します。ターミナルで以下のコマンドを実行して下さい。-bのあとの部分にはブランチの名前を記述します。
$ git checkout -b test-branch

上記コマンドを実行したことで作業履歴は、上の図のようにmasterブランチからトピックブランチ(test-branch)に分岐します。
トピックブランチで作業をする
では、トピックブランチで実際に作業してみます。404.htmlを以下のように変更して下さい。

では、この変更をコミットします。以下のコマンドを実行して下さい。
$ git add .
$ git commit -m "Change 404.html"

先ほどのコミットはトピックブランチで行いました。ですので、変更履歴は上の図のようにトピックブランチで管理されています。
masterブランチに移動する
トピックブランチでの作業は他のブランチに影響を与えません。masterブランチに移動して、実際に確かめてみましょう。masterブランチへの移動は以下コマンドです。移動してコードを見てみると変更がないはずです。
$ git checkout master

このブランチという機能によって、以下図のようにアプリの機能を同時に複数開発可能となります。アプリにエラーが発生してアクセス不可という事を防ぐためにも、作業ごとにトピックブランチを作成して開発を進めて行きましょう。

masterブランチにマージする
トピックブランチでの変更をmasterブランチでも使用したい場合は、マージを行います。マージとは、トピックブランチでの変更をmasterに反映させる作業の事です。マージは以下コマンドで出来ます。
$ git checkout master
$ git merge test-branch

これで、masterに変更が反映されます。もう1度コードを見てみると、行った変更が表示されているはずです。
課題
新たにnew-branchというブランチを作成してみましょう。また、Gitコマンドを検索してそのブランチを削除してみましょう。
Githubにプッシュする
変更をGithubにプッシュしましょう。2回目以降のmasterブランチのプッシュは以下コマンドで行います。
$ git push
課題
プッシュした変更がGithubに反映しているか確認してみましょう。